A Moving Bowling Ball Has Kinetic Energy . Some balls deplete their energy. For example, it can be used to calculate the kinetic. Whenever we do work on something, we are giving it. Enter the two known variables. Web objects transfer their energy between kinetic and potential in the following way: Web the collision between a bowling ball and a bowling pin can be described as an elastic collision because. Web the kinetic energy calculator finds the unknown variable in the physics equation for kinetic energy of a rigid body. As the ball moves, it has a form of energy. Web this kinetic energy calculator is useful for estimating the energy a body acquires through movement of any kind. As the wrecking ball hangs motionless, it has 0 kinetic and 100 percent. Web the bowling ball causes this change, so the bowling ball has energy. Web the bowling ball is heavy and you have to do work to get it up in the air. Web as the ball moves down the lane, it uses up its energy generated by the bowler to initiate motion.
from www.haikudeck.com
Web the collision between a bowling ball and a bowling pin can be described as an elastic collision because. Web objects transfer their energy between kinetic and potential in the following way: Enter the two known variables. Web the kinetic energy calculator finds the unknown variable in the physics equation for kinetic energy of a rigid body. For example, it can be used to calculate the kinetic. Whenever we do work on something, we are giving it. As the wrecking ball hangs motionless, it has 0 kinetic and 100 percent. Web this kinetic energy calculator is useful for estimating the energy a body acquires through movement of any kind. As the ball moves, it has a form of energy. Some balls deplete their energy.
Bowling by A L
A Moving Bowling Ball Has Kinetic Energy Web the kinetic energy calculator finds the unknown variable in the physics equation for kinetic energy of a rigid body. Some balls deplete their energy. Web the bowling ball is heavy and you have to do work to get it up in the air. Whenever we do work on something, we are giving it. Web the kinetic energy calculator finds the unknown variable in the physics equation for kinetic energy of a rigid body. Web objects transfer their energy between kinetic and potential in the following way: Web as the ball moves down the lane, it uses up its energy generated by the bowler to initiate motion. For example, it can be used to calculate the kinetic. As the ball moves, it has a form of energy. Web this kinetic energy calculator is useful for estimating the energy a body acquires through movement of any kind. Web the collision between a bowling ball and a bowling pin can be described as an elastic collision because. As the wrecking ball hangs motionless, it has 0 kinetic and 100 percent. Web the bowling ball causes this change, so the bowling ball has energy. Enter the two known variables.
From favpng.com
Bowling Balls Energy Ruby, PNG, 1000x1000px, Bowling Balls A Moving Bowling Ball Has Kinetic Energy Some balls deplete their energy. As the wrecking ball hangs motionless, it has 0 kinetic and 100 percent. For example, it can be used to calculate the kinetic. Web the bowling ball is heavy and you have to do work to get it up in the air. Enter the two known variables. Web as the ball moves down the lane,. A Moving Bowling Ball Has Kinetic Energy.
From www.youtube.com
Bowling Ball Sliding Problem YouTube A Moving Bowling Ball Has Kinetic Energy Web the bowling ball is heavy and you have to do work to get it up in the air. Web the collision between a bowling ball and a bowling pin can be described as an elastic collision because. Web the bowling ball causes this change, so the bowling ball has energy. Web objects transfer their energy between kinetic and potential. A Moving Bowling Ball Has Kinetic Energy.
From www.youtube.com
Track Bowling Cobalt YouTube A Moving Bowling Ball Has Kinetic Energy Web the bowling ball is heavy and you have to do work to get it up in the air. Web the bowling ball causes this change, so the bowling ball has energy. For example, it can be used to calculate the kinetic. Some balls deplete their energy. As the ball moves, it has a form of energy. Web the collision. A Moving Bowling Ball Has Kinetic Energy.
From imathworks.com
[Physics] Does a thrown ball have energy at the top of the A Moving Bowling Ball Has Kinetic Energy Web this kinetic energy calculator is useful for estimating the energy a body acquires through movement of any kind. Web the bowling ball is heavy and you have to do work to get it up in the air. Whenever we do work on something, we are giving it. Web the bowling ball causes this change, so the bowling ball has. A Moving Bowling Ball Has Kinetic Energy.
From labquiz.netlify.app
Track energy bowling ball labquiz A Moving Bowling Ball Has Kinetic Energy Web the kinetic energy calculator finds the unknown variable in the physics equation for kinetic energy of a rigid body. Web the collision between a bowling ball and a bowling pin can be described as an elastic collision because. Web this kinetic energy calculator is useful for estimating the energy a body acquires through movement of any kind. Web the. A Moving Bowling Ball Has Kinetic Energy.
From www.toppr.com
A circular disc of mass 0.41 kg and radius 10 m rolls without slipping A Moving Bowling Ball Has Kinetic Energy For example, it can be used to calculate the kinetic. Web the kinetic energy calculator finds the unknown variable in the physics equation for kinetic energy of a rigid body. Web as the ball moves down the lane, it uses up its energy generated by the bowler to initiate motion. Web the bowling ball causes this change, so the bowling. A Moving Bowling Ball Has Kinetic Energy.
From www.youtube.com
EXPERIMENT SPLITTER VS BOWLING BALL YouTube A Moving Bowling Ball Has Kinetic Energy Whenever we do work on something, we are giving it. Web the bowling ball causes this change, so the bowling ball has energy. Web this kinetic energy calculator is useful for estimating the energy a body acquires through movement of any kind. As the ball moves, it has a form of energy. As the wrecking ball hangs motionless, it has. A Moving Bowling Ball Has Kinetic Energy.
From www.youtube.com
Chapter 9, Example 13 (Acceleration of a Rolling Bowling Ball) YouTube A Moving Bowling Ball Has Kinetic Energy As the wrecking ball hangs motionless, it has 0 kinetic and 100 percent. Some balls deplete their energy. Web objects transfer their energy between kinetic and potential in the following way: Web this kinetic energy calculator is useful for estimating the energy a body acquires through movement of any kind. For example, it can be used to calculate the kinetic.. A Moving Bowling Ball Has Kinetic Energy.
From www.chegg.com
Solved Find the total energy of a rolling bowling A Moving Bowling Ball Has Kinetic Energy Web the bowling ball is heavy and you have to do work to get it up in the air. Some balls deplete their energy. Enter the two known variables. As the ball moves, it has a form of energy. Web objects transfer their energy between kinetic and potential in the following way: Whenever we do work on something, we are. A Moving Bowling Ball Has Kinetic Energy.
From www.cadau.nl
Newton Balls CoolGift A Moving Bowling Ball Has Kinetic Energy Whenever we do work on something, we are giving it. Web as the ball moves down the lane, it uses up its energy generated by the bowler to initiate motion. Web the collision between a bowling ball and a bowling pin can be described as an elastic collision because. Web the bowling ball is heavy and you have to do. A Moving Bowling Ball Has Kinetic Energy.
From www.chegg.com
Solved A 6.50kg bowling ball moving at 8.60 m/s in the A Moving Bowling Ball Has Kinetic Energy Web objects transfer their energy between kinetic and potential in the following way: Web the collision between a bowling ball and a bowling pin can be described as an elastic collision because. Enter the two known variables. As the ball moves, it has a form of energy. Web the kinetic energy calculator finds the unknown variable in the physics equation. A Moving Bowling Ball Has Kinetic Energy.
From www.slideserve.com
PPT Energy and Momentum PowerPoint Presentation, free download ID A Moving Bowling Ball Has Kinetic Energy Web the kinetic energy calculator finds the unknown variable in the physics equation for kinetic energy of a rigid body. Web the collision between a bowling ball and a bowling pin can be described as an elastic collision because. Web the bowling ball is heavy and you have to do work to get it up in the air. Enter the. A Moving Bowling Ball Has Kinetic Energy.
From www.youtube.com
energy+bowling ball=pin abuse YouTube A Moving Bowling Ball Has Kinetic Energy Web the kinetic energy calculator finds the unknown variable in the physics equation for kinetic energy of a rigid body. Web the bowling ball causes this change, so the bowling ball has energy. Web as the ball moves down the lane, it uses up its energy generated by the bowler to initiate motion. Web the bowling ball is heavy and. A Moving Bowling Ball Has Kinetic Energy.
From printablemediakerr99.z19.web.core.windows.net
Potential And Energy Ppt Grade 6 A Moving Bowling Ball Has Kinetic Energy Web the collision between a bowling ball and a bowling pin can be described as an elastic collision because. For example, it can be used to calculate the kinetic. Enter the two known variables. As the wrecking ball hangs motionless, it has 0 kinetic and 100 percent. Whenever we do work on something, we are giving it. Web the bowling. A Moving Bowling Ball Has Kinetic Energy.
From www.chegg.com
Solved (20 pts.) A bowling ball of mass M and radius R A Moving Bowling Ball Has Kinetic Energy Web the bowling ball is heavy and you have to do work to get it up in the air. Enter the two known variables. Web the bowling ball causes this change, so the bowling ball has energy. Web objects transfer their energy between kinetic and potential in the following way: Some balls deplete their energy. Web as the ball moves. A Moving Bowling Ball Has Kinetic Energy.
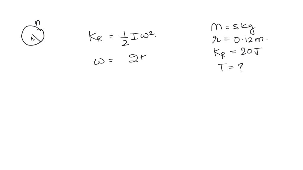
From www.numerade.com
SOLVED A bowling ball of mass 5kg and radius r=0.12m is thrown with a A Moving Bowling Ball Has Kinetic Energy Web this kinetic energy calculator is useful for estimating the energy a body acquires through movement of any kind. Web objects transfer their energy between kinetic and potential in the following way: For example, it can be used to calculate the kinetic. Whenever we do work on something, we are giving it. Web as the ball moves down the lane,. A Moving Bowling Ball Has Kinetic Energy.
From www.slideserve.com
PPT Physics Chapter 5 PowerPoint Presentation, free download ID6639422 A Moving Bowling Ball Has Kinetic Energy Web the kinetic energy calculator finds the unknown variable in the physics equation for kinetic energy of a rigid body. As the ball moves, it has a form of energy. Web as the ball moves down the lane, it uses up its energy generated by the bowler to initiate motion. Whenever we do work on something, we are giving it.. A Moving Bowling Ball Has Kinetic Energy.
From atelier-yuwa.ciao.jp
What Is Inside A Bowling Ball And Are Balls Created Equally? atelier A Moving Bowling Ball Has Kinetic Energy Web this kinetic energy calculator is useful for estimating the energy a body acquires through movement of any kind. Web as the ball moves down the lane, it uses up its energy generated by the bowler to initiate motion. Web the bowling ball is heavy and you have to do work to get it up in the air. As the. A Moving Bowling Ball Has Kinetic Energy.